欢迎访问济南新之源生物科技有限公司网站!

智源生物&新之源生物邀您开启CPHI & PMEC China 2025新篇章!

2025.05.21

潮起申城,共沐风雨,智源生物&新之源生物邀您开启CPHI & PMEC China 2025新篇章!本次盛会将继续集结全球制药产业先锋力量于624-26日在上海新国际博览中心高燃来袭。展会将以全球化视角、专业深度及差异化优势为基石,精准聚焦制药产业增长热点,敏锐捕捉全球市场趋势,构建集贸易、投资、交流与合作于一体的高质量平台。,深层次链接国际市场和优质资源,加快培育和形成新质生产力,引领我国医药产业向价值链高端持续攀升。

 

本次展会,智源生物携旗下子公司济南新之源生物科技有限公司,强势推出重磅新品羟丙基壳聚糖。我们将组建业务、质量、技术、研发等部门的专业参展团队参展,为新老客户解惑答疑。为了更好地展示产品的效果和应用前景,智源生物的技术人员将在现场进行产品演示,并详细讲解产品的使用方法,展位号E3Q30诚邀新老朋友届时莅临交流指导!

 

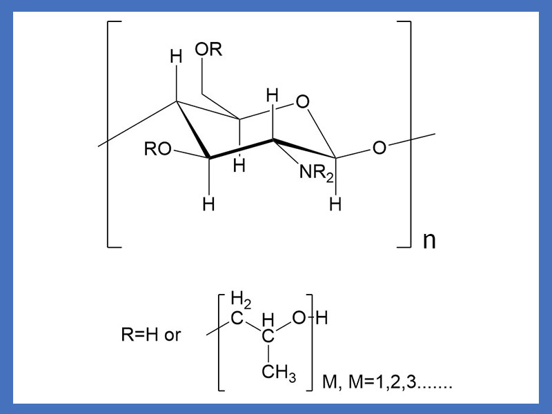
羟丙基壳聚糖

我们专注于壳聚糖衍生物的研发、生产和销售。公司依托强大的研发实力和先进的生产技术,致力于为全球客户提供高品质、高性能的水溶性壳聚糖产品和应用方案。同时积极参与国内外学术交流与合作,推动水溶性壳聚糖领域的科技进步和发展。

匠心深耕、追求卓越,我们相信,通过此次展会,智源生物&新之源生物将能够与更多业界同仁建立联系,共同推动制药产业的繁荣发展。同时,我们也期待在展会现场与各位朋友相见,共谋合作,共创辉煌!

 

contact us

联系我们

全国服务热线:

0531-61303628

立即咨询

CopyRight © 2024. 济南新之源生物科技有限公司 All Rights Reserved.

鲁ICP备2024113381号-1